たなかこういちの開発ノート

システム開発に携わる筆者が、あれこれアウトプットするブログ

2016-03-27から1日間の記事一覧

OOは静的構造を、関数型は動的振る舞いをモデル化するのに有用だという話

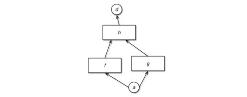
要約 関心対象について分析し理解しようとしたら、多かれ少なかれ「要素分解していく方法」を取るでしょう。「要素分解していく方法」とは構造を捉えることに関してのアプローチです。 構造を捉えるに当たって、OOは「要素分解していく方法」をよく支援しま…